本文分析了阳离子UV油墨的主要组成、固化机理、主要特性、应用领域和印刷设备;对阳离子UV油墨固化速度快、生产效率高、低VOC、高附着力、低挥发性和低气味等特点展开了分析。
杨爱军
杨爱军,毕业于郑州工业大学有机化工专业,高级工程师;先后曾在北京东方化工厂研究中心、恒昌涂料、洋紫荆油墨,任技术总监、特种油墨事业部总监等职。
2015年创建惠州市毕升堂科技有限公司,并于2018年至今任速固得总经理,主要从事UV-LED油墨的研发和生产,其中“低气味、低迁移UV-LED阳离子油墨”属国内首创,国内第一个实现了阳离子UV油墨的产业化。
阳离子UV油墨是一种特殊的油墨,其固化机理和固化过程与传统的溶剂型油墨、 水性油墨、自由基UV油墨有所不同。它的主要特点在于使用了光敏阳离子引发剂,树脂和单体的骨架上配套使用了各种环氧、乙烯基醚等高活性基团,这种阳离子引发剂对氧气不敏感,不容易淬灭,一旦在光照下被引发,就会快速引发单体和树脂上的活性基团发生链式反应,并一直持续下去,直至所有的活性基团完全反应完成,链式反应才会中止,这样形成的油墨成膜物,残余的未反应的单体和树脂非常少,没有迁移物,因此非常安全。同时,由于高转化率,油墨成膜物非常耐磨、耐刮、耐溶剂,各项物理性能优良。
阳离子UV油墨固化速度非常快、生产效率很高,在高功率密度的UV光辐射下,在毫秒级时间段内即可以达到80%的交联反应,在凹印、柔印或卷对卷的数码印刷机上可以安全收放卷,不会产生粘花或在辊面上残留油墨。阳离子UV油墨不含挥发性有机化合物(VOCs),所以更加环保。此外,阳离子UV油墨在电晕处理过的基材上进行印刷和涂布上光时,表现出特别好的附着力,这也是阳离子UV油墨关键性能之一。
另外,阳离子UV油墨的挥发性低、气味小,相比传统自由基UV油墨,具有更好的操作环境和健康安全性。在印刷过程中,辐射固化的印刷品从印刷机下机后,墨层看上去好像已经固化,但仍有部分单体和树脂没有完全反应(也就是常说的半干或没干透),这种情况下,自由基UV油墨就会停止继续反应,长期保持这种状态,或略有改善,但阳离子固化油墨即使离开UV光照后也可以继续反应,直到单体和树脂完全交联,这就是所谓的后固化,这一点是和传统的自由基UV油墨完全不同的地方,也是阳离子UV油墨最大的优点。
一
阳离子UV油墨的主要组成
阳离子UV油墨的主要组成和传统自由基UV油墨有一点类似,都是包含低聚物(树脂)、活性稀释剂(单体)、光引发剂以及各种添加剂。其中,低聚物相当于普通油墨中的连接料,是成膜物,其对油墨的性能主要起骨架作用,在结构上,低聚物骨架上有光固化基团,具有感光性,可以参与光固化反应。活性稀释剂不仅能稀释油墨,使油墨具有良好的印刷适应性,也会参与反应,使油墨具有更好的物理化学性能。光引发剂则相当于普通油墨中的催化剂,它能够通过吸收紫外线产生自由基或阳离子,从而引发低聚物和活性稀释剂发生聚合和物理交联反应,形成网状结构的油墨层。
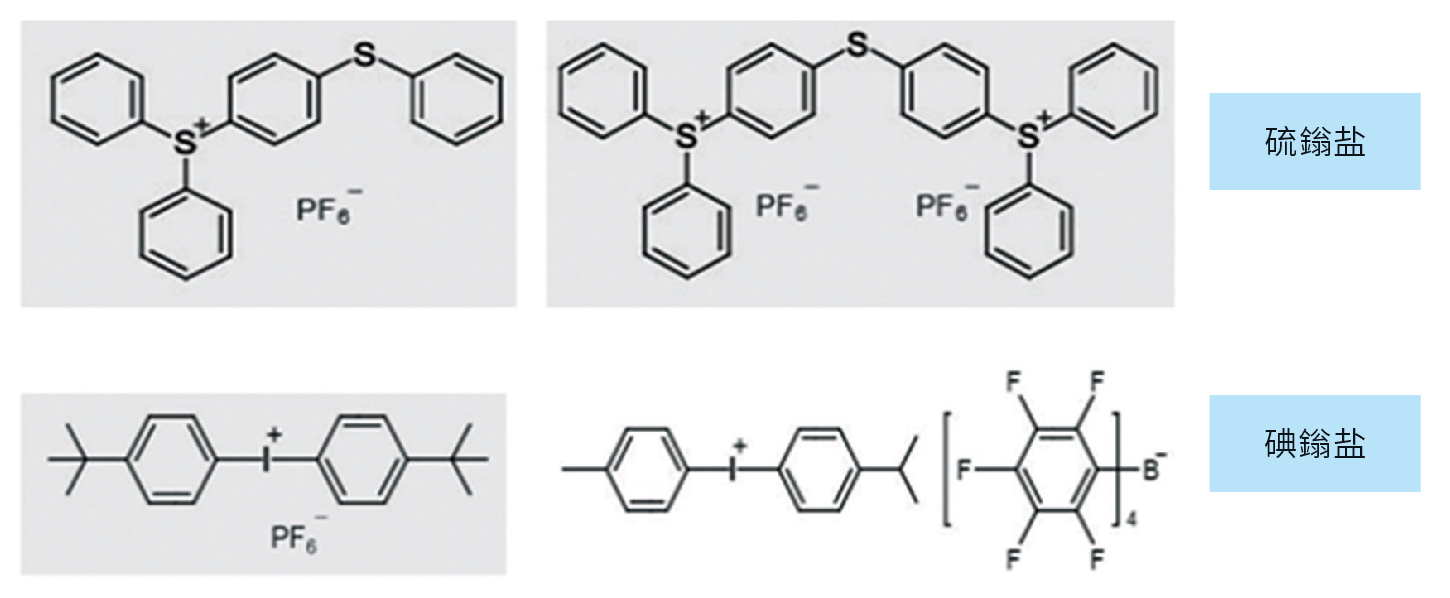
1.引发剂
引发剂常用的阳离子引发剂主要有碘鎓盐和硫鎓盐,他们在吸收紫外光的时候,会产生阳离子活性中心,进而引发单体和树脂进行链式反应,常用的引发剂如图1所示。

图1 阳离子UV油墨常用的引发剂
2.单体和树脂
阳离子UV油墨常用的树脂(或低聚物)种类很多,如丙烯酸树脂、聚氨酯树脂、聚酯树脂、环氧树脂、 乙烯基醚树脂、聚酯树脂、聚醚树脂、有机硅树脂、酚醛树脂和松香树脂等,在这些树脂的骨架上,往往有一种或多种官能团,这些官能团包含但不局限于以下基团:环氧基团、丙烯酸基团、乙烯基醚基团、酸酐基团等。
阳离子UV油墨常用的单体以丙烯酸、环氧、乙烯基醚、酸酐类为主,主要性能要求有:粘度低、固化速度快、味道小、不易迁移等性能。
在单体和树脂的结构上,最好有2个或2种以上的官能团,使其具有双重固化功能,如自由基UV固化+阳离子UV固化、阳离子UV固化+阳离子热固化等组合,常用的单体和树脂如图2和图3所示。

图2 双重固化常用的单体

图3 双重固化常用的树脂
3.色粉和助剂
油墨中色粉和助剂是必不可少的,溶剂型油墨和水性油墨中常用的色粉在阳离子UV油墨中很多是不能使用的,部分色粉会和阳离子活性中心起酸碱中和反应,导致阳离子反应失效。还有一些助剂,比如酰胺类的分散剂,也会和阳离子起反应,不能随便使用,这些色粉和助剂需要精心挑选。
二
阳离子UV油墨的固化机理
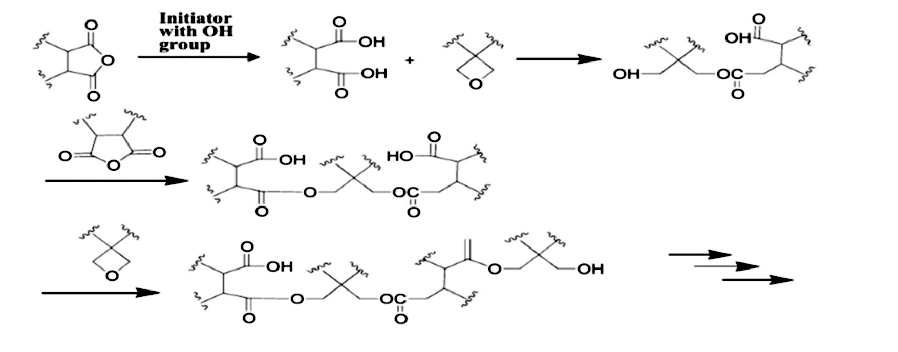
所谓阳离子UV油墨固化,就是在紫外光照射的情况下,引发剂产生酸性活性中心,进而引发单体和树脂的链式反应,以氧杂环丁烷为例,大概反应过程如图4所示。

图4 阳离子UV油墨紫外光照射反应过程
为了提升油墨的反应程度,尽量减少单体或树脂的残余量,油墨配方中通常会引入自由基固化功能,自由基固化侧重墨层中部和底部干燥,阳离子侧重墨层表面干燥,二者配合起来,会显著提升油墨的性能。另外,引入热固化也是常用的方法之一,如酸酐非常容易和环氧固化,大致原理如图5所示。

图5 阳离子UV油墨中的热固化过程
三
阳离子UV油墨的主要特性
1.低迁移特性
低迁移特性阳离子UV油墨具有超高的转化率,固化后的成膜物质具有良好的低迁移特性。
阳离子UV油墨中的单体或树脂分子上经常有2个或2种以上的官能团,它们具有双重固化功能,在受到UV或UV-LED光照射会引发聚合,产生链式反应,在极短的时间内(0.02秒左右),官能团的转化率会达到80%以上;剩下未反应的官能团,会持续反应,也就是常说的后固化,48小时后,官能团的转化率会大于99%,如图6所示为以阳离子为主的双固化油墨的固化原理示意图。

图6 阳离子双固化油墨的固化原理
这样的双固化与常规自由基油墨的辐射固化有本质区别。常规自由基油墨,在紫外光照射的情况下,官能团大约有80%左右的转化率,紫外光照射停止后,反应也立即停止,未反应的单体、官能团和树脂残留在了油墨的成膜物中,这些残留物会不仅导致油墨的耐磨性、耐折性下降,容易粘花,更有可能会从油墨的成膜物中溢出和渗透,迁移到包装物的产品中去,导致产品污染。
2.低VOC特性
阳离子UV油墨可以大幅度降低油墨产品的VOC。
我们知道印刷薄膜主要使用传统的溶剂型凹印油墨,溶剂含量高达60%左右,印刷过程中又要添加70%左右的溶剂,这样,每使用1吨油墨,就会带来1.3吨左右的VOC排放量,中国每年消耗35万吨溶剂型凹印油墨,带来的VOC排放量会超过45万吨/年。尽管近年来在环保督查的压力下,印刷企业增加了VOC回收和处理装置,但基于管理、产能和区域的问题,依然有大量VOC排放,就算VOC处理装置正常,但去过溶剂型凹印车间的人,都对溶剂呛人的气味深有感触,溶剂的挥发无处不在,让一线工人无处躲藏。
水性油墨要想用于薄膜类产品的印刷,添加酒精也是必不可少的,而且添加量巨大,有时甚至达到了用墨量的30%以上。
传统的自由基UV油墨,基于附着力、气味和迁移等问题,还较难用于软包装产品的印刷。
如表1所示是常见油墨的组成,可以看到每种油墨产品的VOC含量。
表1 常见油墨的组成

3.高附着力特性
溶剂型油墨和水性油墨均为挥发干燥型油墨,随着溶剂和水的挥发,油墨中的树脂会和薄膜充分润湿,形成良好的范德华力和分子间力,将产生良好的附着力。溶剂型油墨由于分子量偏小、润湿能力高,因此其附着力会更好一些。
常规自由基UV固化油墨中使用的单体和部分树脂,在固化过程中会产生3~10%的收缩,使油墨和基材产生较大的位移,导致油墨的附着力下降。在其配方中,尽管可以加入少量热塑性树脂,如热塑性丙烯酸树脂、聚氨酯树脂、氯化聚丙烯树脂等,使油墨收缩形变降低到3%以下,有效提升油墨的附着力,但这些热塑性树脂,由于不参与UV固化,导致成膜物的耐磨性、耐化学、耐刮性、抗回粘性等物理性能严重下降。
阳离子UV油墨对薄膜类产品具有良好的附着力。其所用的单体和树脂,固化时收缩形变通常小于3%,部分单体甚至是微膨胀型的,良好的配方会让油墨固化时的收缩应力接近0,和薄膜产生良好的附着力。由于油墨的收缩形变很小,印刷品也不易变形,因此表面更加平整,不容易发生卷曲等形变问题,更有利于后续工艺的加工。
当然,阳离子UV油墨对常见的薄膜,如BOPP、PE、PET、PVC、PS、PC、PA等,均有良好附着力的原因,除了阳离子UV油墨在固化时收缩小的特性外,其特有的结构和较高的极性,也是主要因素之一。
4.固化速度及影响因素
阳离子单体由于其化学特性对薄膜具有良好的附着力,这样在阳离子UV油墨中就可以少添加树脂或不添加树脂,这就意味着单位体积内,阳离子的官能团数量会比较多,再加上阳离子固化时的链式反应对氧气不敏感,没有氧气阻聚的缺点,这样就可以设计出高速固化的阳离子UV油墨。
阳离子UV油墨的固化速度主要受制于4个方面的因素:
1 )光引发剂添加比例
2 )UV辐射光强
在40W/cm2的光强下,阳离子UV油墨的固化速度可以达到450米/分钟。
3 )油墨温度和环境温度
自由基UV油墨对温度不敏感,在一定温度范围内,升高温度对固化速度没有特别的影响;但阳离子UV油墨对温度异常敏感,如图7左图所示,温度每提升10℃,固化速度可以提升50%左右。
4 )环境湿度
阳离子UV油墨的缺点也很突出,湿度会严重阻碍阳离子固化,阳离子固化属于酸固化, 空气中的水分子会中和阳离子酸,使反应失效,如图7右图所示,湿度每增加10%,油墨的固化速度会下降一倍以上。

图7 温度和湿度对阳离子UV油墨固化速度的影响
5.阳离子UV油墨的物理性能
阳离子UV油墨的物理性能和传统的溶剂型油墨、水性油墨、自由基UV油墨相比,优点和缺点均十分突出,可以根据每种油墨的特性,找到合适的应用场合,具体性能对比如表2所示。
表2 阳离子UV油墨与传统油墨的物理性能对比

6.阳离子UV油墨的安全性
阳离子UV油墨中VOC含量小于1%,其重金属、邻苯类物质、卤素、甲醛、苯类物质、阻燃剂均符合国内外相关标准,如EN71-3、ASTM963、RoHS、 ISO8124、16CFR1303、REACH、FDA 21 CFR 175.300、GB4806.14-2003 等标准和规范。
阳离子UV油墨用于食品包装类产品时,需遵循《GB 4806.14-2023食品安全国家标准-食品接触材料及制品用油墨》的要求;如表3和图8所示,为阳离子UV油墨参照GB 4806.14-2023的5.2、5.3条款测试结果,均为符合要求(注:测试内容不含GB 4806.14-2023的5.1条款合规性要求验证)。
表3 阳离子UV油墨的合规性


图8 迁移性测试
7.阳离子UV油墨的印刷成本
阳离子UV油墨可以用于凹印、柔印、丝印和数码印刷等印刷方式,目前由于原材料生产企业偏少、产能有限、品种单一,许多核心单体、树脂和引发剂都需要定做,定制周期又较长,有的甚至超过3个月,所以原材料成本相对较高。
1)凹印阳离子UV油墨
印刷软包装产品时,和传统溶剂型油墨相比,凹印阳离子UV油墨由于印刷厚度较大,其印刷成本(仅包含油墨成本,撇开环保、电费等复杂因素)相对较高,根据批量印刷数据统计,白墨印刷成本高了1倍左右,色墨高了50%左右,因此,单纯用凹印阳离子UV油墨取代溶剂型凹印油墨,是没有经济价值的,也无法被印刷企业接受。
2)柔印阳离子UV油墨
由于阳离子单体和树脂粘度相对较低,这样就可以做成高色浓度的柔印油墨,配套使用高线数的网纹辊,如色墨(1400Lpi)、专色(1200Lpi)、白墨(800Lpi),这样在不影响印刷质量的情况下,尽可能多地降低了油墨层的厚度,控制了油墨单位面积使用量,从而有效控制了油墨的印刷成本。和传统的溶剂型油墨凹印相比,白墨印刷成本略高5~20%,色墨略低5~20%,总体印刷成本基本相当。
3)丝印和数码阳离子UV油墨
这两类产品相对附加值较高,阳离子UV油墨的使用,对最终产品的成本影响不大,但性能上却有了质的飞跃,尤其是印刷PP、PE、PA类产品时,高附着力、不需要打底、兼具硬度和柔韧性,是阳离子UV油墨具有无可比拟的优势。
4)胶印阳离子UV油墨
阳离子单体和树脂的亲水性较大,水墨平衡不太容易控制,润版液中的水分也会影响阳离子UV油墨的固化,因此,阳离子胶印UV油墨不太适合有水胶印工艺,但在无水胶印方面,阳离子UV油墨可能有广阔的应用前景。
四
阳离子UV油墨的应用领域
1.复合软包装
阳离子 UV 油墨代替凹印溶剂型油墨用于复合软包装产品的印刷,不仅有效解决了VOC源头治理问题,其安全性也可以满足食品包装的要求,部分软包装产品甚至可以简化生产工艺,从里印复合印刷产品转变为单一材质的表印产品。
2.工业重包装
石化行业、建材行业很多产品均采用100~150µm厚度PE袋(如图9所示)包装,包装袋的印刷大部分采用的是溶剂型或水性油墨,此类油墨存在VOC的问题,或印刷图案容易粘花、耐酒精性、耐磨性不好的问题。

图9 工业重包装
使用自由基UV油墨的印刷,也会存在附着力和耐磨不好的问题。如果内包装物的产品用于食品行业,也会存在安全隐患,水性油墨中残余的单体、胺和成膜助剂,自由基油墨中残余的引发剂和未反应的单体,都有可能迁移,污染到成品。
阳离子UV油墨的天然优势,可以有效解决上述问题,符合食品级产品的安全性要求。
3.瓶标产品
目前瓶标的印刷,行业内基本采用的都是溶剂型凹印,也有少数企业采用的是溶剂型柔印,不管哪种印刷方式,VOC都是头疼的问题。由于溶剂挥发速度较快,如果采用溶剂型柔版印刷,网纹辊和印版特别容易堵塞,擦版是个非常大的麻烦,工人工作量巨大,也容易损伤印版。
阳离子UV油墨用于此类产品的印刷时,可以有效解决上述VOC和干版问题。同时,阳离子UV油墨由于极性大,表面张力高,不会影响瓶标的粘贴。
4.膜内标签
目前膜内标签印刷很多企业采用的是自由基 UV 油墨柔版印刷工艺,当然也有水性和溶剂型油墨的印刷工艺 ,在印刷PP材料时,由于附着力的问题,PP材料需要打一层底涂,工艺复杂了很多,产品外观也有缺陷,没有上光的时候,底涂耐刮性不会让人满意。
阳离子UV油墨对PP有非常好的附着力,既可作为联机UV印刷的底涂,也可以直接印刷,不需要打底。另外阳离子UV油墨有非常好的耐热性,短时间内耐温可以超过280℃,注塑时不会被熔融的胶料冲刷掉,非常适合用作膜内标签的印刷。
5.卫生用品包装
卫生用品如纸尿裤、卫生巾等,和人体密切接触,这就需要卫生用品上的油墨安全、无毒、耐汗液,目前常用的印刷油墨有水性和溶剂型两种,溶剂型油墨会带来 VOC,水性油墨除含有VOC外,对人体汗液也比较敏感,经常会掉色。如果改用自由基UV油墨印刷,安全性又得不到保证。
阳离子UV 油墨耐汗液、不含VOC、印刷适性良好,最关键的是阳离子UV油墨的超高转化率,保证了固化后的油墨安全性,因此,阳离子UV油墨是印刷卫生用品的一个绝佳选择。
6.纸巾包装
目前餐巾纸的包装物基本上都是里印,使用溶剂型油墨,文字面朝向餐巾纸里面,为什么要这么设计呢?最主要的原因是溶剂型油墨耐性较差,在运输过程中油墨会磨损,导致商品外观变差,如果使用复合膜,成本又有提升。油墨面朝里,还有可能带来安全问题,油墨中残余的溶剂和有害物质,会被纸巾吸收,轻则导致异味,重则有害人体。这种包装模式,如改用水性油墨和自由基UV油墨,情况会变得更差,因为水性油墨的耐性更差,气味更大,而自由基UV油墨的味道和有害物质也是不能被允许的。
除常规的干纸巾外,湿纸巾和卸妆棉湿纸巾中,含有75%左右酒精,如果依然采用里印的方式,油墨会被酒精溶解,所以目前只能采用复合膜进行包装。
阳离子UV油墨耐酒精 (99.9%的酒精含量)测试可以超过 100 次,如果是75% 的酒精,可以长期浸泡;还有就是阳离子UV油墨的耐磨性超好,可以采用表印方式印刷此类的包装物,光泽度、成本、性能、安全、环保等各项性能均有质的飞跃。
7.保护膜
传统的保护膜(如图10所示)生产工艺是“凹版印刷+复合+涂胶”,这种工艺复杂,而且成本较高,阳离子UV油墨具有优异的附着力和耐溶剂性,改用阳离子UV油墨后,可以省掉复合工艺,简化为“柔版印刷+涂胶”的简易工艺,此工艺不仅可以节省成本30%,还可以节省复合设备和生产空间。

图10 保护膜
8.数码印刷领域
1)可追溯二维码领域
安全起见,目前越来越多的产品需要二维码追溯,如烟酒、药品、食品、饮料等。二维码的印刷油墨可以是常用的小字符油墨,也可以是自由基UV油墨,前者要使用大量的溶剂,后者有很大的性能缺陷,纸张、PVC等附着力佳的材料尚好,在PP、PE、PA等材料喷码时,就无法满足附着力的要求了。
目前除软包装产品的外层经常会用到PP或PE材料外,瓶盖也有很大一部分的材质是PP或PE,在这类材料上面喷印,常规油墨是无法平衡附着力、耐酒精、耐油脂、低气味、低迁移、耐刮擦等各项性能的,只有阳离子UV油墨才能完全满足这些性能。
2)软包装个性化印刷和短单印刷领域
预制菜、火锅底料等产品的包装袋,外层材料绝大多数是PP或PE,其工艺经常是先做成空白袋子,再印刷或粘贴标签,其中贴标签工艺超级耗费人工和物力,而溶剂型油墨、水性油墨和自由基UV油墨,由于附着力、耐蒸煮、 耐油脂、耐酒精和迁移性等问题,无法满足使用要求,这种情况下,阳离子UV油墨可以满足上述性能和技术指标的要求。
五
使用阳离子UV油墨的印刷设备
1.凹版印刷机
使用阳离子UV油墨的凹版印刷机(如图11所示),在印刷软包装或标签时,性价比较差,但在家具膜、地板膜等需要连续印刷图案的应用方面,显示了很高的性能优势,印刷PVC、PET、PP、PE等材料时,均无需打底,印刷速度可以达到150米/分钟以上。

图11 使用阳离子UV油墨的凹印机
2.柔版印刷机
基于性价比的考虑,在印刷软包装和标签类产品时,配套使用的最优设备是UV-LED卫星式柔版印刷机(如图12所示),用于套印精度要求较高、底材又容易被拉伸、基本色比较多的产品,如厚度小于15微米的PP膜、PE膜、透气膜等。

图12 使用阳离子UV油墨的卫星式柔版印刷机
层叠式UV-LED柔版印刷机,由于印刷精度较差,适合印刷重包装类产品,如化工物料、水泥、腻子粉、大米、玉米等。
机组式柔版印刷机印刷精度和灵活度均良好,很多产品均可以印刷,如瓶标产品、日化产品、餐巾纸、标签等。
3.数码喷墨印刷机
数码喷墨作为近年来发展最快的印刷技术,目前大多应用于窄幅标签印刷和小批量的平板扫描式印刷,主要原因是受制于算力限制和数据下发速度的影响而无法应用于常规的宽幅高清印刷。
阳离子数码油墨结合最新的数码打印超算架构和图像本地时间敏感性喷头控制技术,可以1200dpi的打印精度运行到60米/分钟,已经可以达到软包装个性化小批量生产的技术要求,特别是在PP、PE、PET、PA、PVC等薄膜基材上,可以不用底涂而直接表印,完全可以媲美凹印、柔印甚至胶印的印刷效果。
全文未结束
本文“结束语”部分的相关内容,请阅读《CI FLEXO TECH》实体杂志或注册微信公众号正式会员在“大咖讲柔印”版块阅读。